首页 > 重要信息

风云四号卫星红外有效载荷取得重大突破

2017-04-07
【字体:

语音播报

  完成单位:凯发k8上海技术物理研究所

  由凯发k8上海技术物理研究所研发的风云四号卫星多通道扫描成像辐射计和干涉式大气垂直探测仪在轨获取的遥感数据,于2月27日在国家国防科工局和中国气象局联合组织的风云四号首批图像与数据发布会上得到正式发布,确保我国气象卫星在国际上率先实现高时效对地三维探测,对提高全球观测能力具有划时代的重要意义,标志着我国新一代静止轨道气象卫星站在了国际竞争的制高点。

  上海技物所研发团队先后破解了亚秒级指向精度的碳化硅双扫描镜二维扫描机构研制技术、高灵敏度面阵探测器技术、甚长波红外探测技术等多项技术难题,实现了所有核心技术自主研发,完成了从基础机理到核心元部件再到系统集成全创新链的自主可控研制,并在轨得到验证。

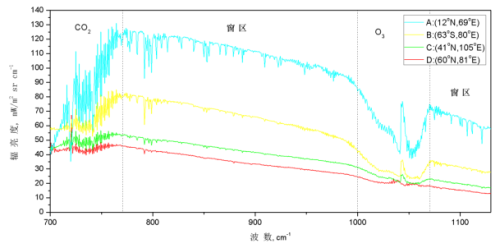
  作为国际首台静止轨道上工作的精细光谱探测仪器,干涉式大气垂直探测仪可实现1500个以上细分光谱的探测,为人类深入研究大气对流,更精细预测灾害性天气提供了新的可能,具有广阔的应用前景和重大的社会、经济效益。

  相关链接:

  中科院三大载荷助力风云四号获取首批图像和数据

  中科院上海团队攻坚15年啃下让欧美知难而退的硬骨头

风云四号A星辐射计第一幅彩色合成图像

风云四号A星探测仪对地观测光谱图

打印 责任编辑:侯茜

扫一扫在手机打开当前页

© 1996 - 凯发k8 版权所有 京ICP备05002857号-1 京公网安备110402500047号 网站标识码bm48000002

地址:北京市西城区三里河路52号 邮编:100864

电话: 86 10 68597114(总机) 86 10 68597289(总值班室)

  • 友情链接: